Council and their responsibilities

Sometimes council employees need a bit of input into how a public lighting would work and make it compliant against the Australian Standard, for example a recently completed pedestrian crossing design for a council in Byron Bay required completing calculations in accourdance with the table shown on picture on the right side.

A qualified lighting designer can intrepret this values and make sure the light levels comply with the standards.

AS 1158 PR4 Category Compliance Statement

This is a sample of a design statement youw will get for your project for an external road compliance check against AS 1158. Here you can see the minimum value set for each drives and its compliance achieved.

This design required to be PR4 category compliant of the AS 1158 standards. We have saved 4 lights for the clients by meeting the standard and client appreciated the fast turn around provided for the works completed.

Clifton Hills - Green Star Compliance Checks

This was a project where I had to meet the greenstar points set ny the ESD consultants.

The following points were addressed,

1. Horizontal Illuminance Compliance

2. Wall Illumination for Contrast and Visual Interest

3. Vertical Illuminance at Eye Height

4. Documentation for Contrast Across Multiple Spaces

Gym

AS 1680 Compliant Lighting Design

AGI32 + Dialux Combo Design Multipurpose Hall

This design involved creating a design with agi32 adn Dialux and it was a combination of lighting aspects plus the visual aspects in the simulation.

SCHOOL PROJECT - NSW

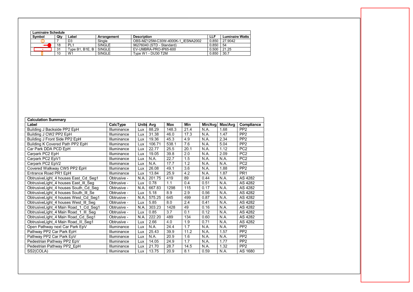
The design required compliance with AS 1680, AS 1158, AS 4282, AS 2560, and greenstar points claim

TENNIS COURT LIGHTING - AS 2560

This lighting had AS 1158, AS 2560, AS 4282 checking involved in it.

AS 2560 lighting design

OBTRUSIVE LIGHTING CHECKS

AS 4282 COMPLIANCE CHECKS

Please feel free for an obligation free quote for your lighting design requirements.

Contact Us